次氯酸可有效控制傷口中生物膜
微生物對傷口愈合有非常不利的影響,給患者帶來了嚴重的痛苦和醫療負擔。一旦微生物在傷口上定植,不僅容易形成生物膜和胞外聚合物,還容易導致治療過程中耐藥菌的出現,常見的耐藥菌包括耐甲氧西林金黃色葡萄球菌(MRSA)和多重耐藥銅綠假單胞菌(RPA)。
為了加快患者傷口愈合,避免造成感染,最有效、直接的方法是對傷口進行清創處理,因此,有效的清創處理方式及產品一直是外科醫生們關注的焦點,以期能夠有效去除生物膜并防止其再生。
近期,英國高級傷口護理主任丹尼爾·梅特卡夫博士及其團隊成員采用了一種新型的次氯酸清創凝膠作為清創治療藥劑,以耐甲氧西林金黃色葡萄球菌和多重耐藥銅綠假單胞菌為研究對象,結合構建的生物膜紗布模型,通過最小生物膜清除濃度判斷該凝膠的有效性能。本項研究得出以下結果:
殺菌效果研究
工作人員發現次氯酸清創凝膠對耐甲氧西林金黃色葡萄球菌和多重耐藥銅綠假單胞菌菌懸液的滅活效果非常顯著,反應2分鐘即可將兩種細菌殺滅至檢出限以下,滅活量均超過8個數量級,效果顯著優于當前所使用的其他抗菌產品。

與此同時,研究者還利用熒光顯微鏡對細胞活性進行檢測,發現經次氯酸清創凝膠處理20秒后,銅綠假單胞菌細胞膜因遭到破壞而失活,處理至2分鐘后,金黃色葡萄球菌的細胞膜結構也受到顯著性破壞,胞內物質流出。

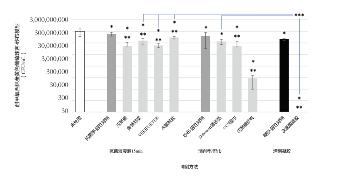
生物紗布模型研究
通過對紗布模型上的生物膜進行實驗,發現次氯酸清創凝膠對紗布上金黃色葡萄球菌和銅綠假單胞菌的生物膜的去除具有很好的效果,去除量均超過6個數量級。

此外,研究中對比了八種清創方式(包括四種抗菌液浸泡、三種清創墊/濕巾擦拭、一種次氯酸清創凝膠涂抹)對生物膜紗布模型中金黃色葡萄球菌和銅綠假單胞菌的去除效果,發現次氯酸清創凝膠的處理后效果顯著優于常規抗菌液浸泡和清創墊/濕巾擦拭等處理(p<0.05)。

該項研究證實,次氯酸凝膠在清創處理環節能有效去除傷口處的生物膜,對臨床中常見的耐藥菌具有良好的殺滅效果,在去除生物膜和抑制其生長的同時,還能避免此類細菌產生抗藥性;此外,采用凝膠形式的次氯酸進行清創處理,對生物膜的去除效果顯著優于其他常規方式(如消毒液、清創濕巾等),綜合表明,次氯酸凝膠可作為一種替代型的清創產品應用于傷口治療領域,具有非常廣闊的應用前景。